|
|

《无人机驾驶员》职业技能等级证书考试学习
飞控是飞行控制系统(Flight Control System)的简称,是各种无人机和飞行器的控制下图,你可以认为就像我们的大脑,它从传感器获取数据,并采用控制算法对飞行器进行实时控制,实现飞行器的稳定姿态、运动轨迹和任务目标。

飞控系统的基本原理可以概括为以下几个步骤:
一.数据采集:
传感器实时检测飞行器当前的状态,并将数据发送给飞控,比如我们常用的陀螺仪,气压计,GPS等。这些传感器的数据通过数据采集模块汇总到飞控。
飞控系统使用的传感器主要包括:
1.陀螺仪:
测量飞行器绕三个轴旋转的角速度。
2.加速度计:
测量飞行器沿三个轴的加速度。
3.磁力计:
测量飞行器的磁场方向。
4.气压计:
测量飞行器的高度。
5.GPS:
测量飞行器的速度和位置。
二.数据处理:
单片机或微型计算机根据传感器数据和预设的飞行算法,计算后发出控制指令,常用的单片机有stm32,esp32,微型计算机用各种pi。
常用的飞控算法包括:
1.PID控制:
PID控制是一种经典的反馈控制算法,具有简单易用的特点。
2.自适应控制:
自适应控制可以根据飞行器的实际情况调整控制参数,提高控制的鲁棒性。
3.滑模控制:
滑模控制可以使飞行器在有限时间内到达期望状态。
3.指令执行:
控制指令被发送给执行器,比如电机和舵机,以调整飞行器的姿态和位置。
1.电机控制飞行器的升力和推力。
2.舵机控制飞行器的姿态。
四. 飞控系统根据其功能和结构可以分为以下几种类型:
1.姿态控制系统:
控制无人机的姿态,包括滚转、俯仰和偏航。
2.运动控制系统:
控制无人机的运动,包括速度、高度和位置。
3.任务控制系统:
控制无人机完成特定的任务,例如航拍、巡逻、喷洒农药等。
五. 开源飞控:
流行的开源飞控如下:
Arduino 是最早的开源飞控,无人机爱好者通过Arduino构建自己的飞控,使用基于C语言和C++的Arduino语言,通过Arduino IDE软件编写源代码并编译上传,著名的开源飞控WMC和APM同样基于Arduino开发。
2.APM飞控
APM(ArduPilot Mega)是一个功能强大的开源飞控,可用于各种类型的无人机,包括多旋翼、固定翼和垂直起降(VTOL)飞机。它支持多种功能,例如自主飞行、导航和避障。
3. PX4和PIXHawk
另一个流行的开源飞控,与 ArduPilot 类似,它也支持多种类型的无人机和功能。PX4 以其模块化架构和高性能而闻名。PX4 是专业自动驾驶仪。它由来自工业界和学术界的世界级开发人员开发,并得到活跃的全球社区的支持,为从赛车和货运无人机到地面车辆和潜水器的各种车辆提供动力。
4. CC3D
CopterControl、CC3D 和 Atom 飞行控制器都是运行 OpenPilot 固件的稳定硬件类型。它们可以配置为使用 OpenPilot 地面控制站 (GCS) 软件将任何机身从固定翼飞行到八轴飞行器。
Multi Wii Copter (MWC)
Multi Wii Copter(MWC)飞控是一款典型的Arduino衍生产品,是专为多旋翼开发的低成本飞控,它完整地保留了Arduino IDE开发和Arduino设备升级和使用的方法。
KKMulti Copter
KK飞控是源于韩国的一款开源飞控项目,也是第一种广为大众接受的多旋翼飞控,在开源飞控发展的初期,该飞控的横空出世对整个四旋翼行业是一种震撼。
Paparazzi(PPZ)
Paparazzi(PPZ)是一个软硬件全开源的项目,它始于2003年,在ubuntu上开发,该飞控方案中除了常见的飞控硬件、飞控软件和地面站软件之外,还包含地面站硬件,包括各种调制解调器、天线等设备。从功能上讲,PPZ已经接近一个小型的无人机系统了。
Autoquad飞控和ESC32电调
AutoQuad 是一个开源固件,具有闭源硬件。它旨在提供具有稳定、动态飞行和自动驾驶功能的飞控板。具有 32 位 MCU 的强大硬件和一系列最好的 IMU 传感器构成了 AutoQuad 飞行控制器的基础,目前的代码库的目标是多达 14 个电机的多旋翼飞行器。适用于固定翼或单旋翼。
为了使无人机在操作飞行的过程中,安全、高效、稳定的飞行,通过个个细节的把控,做到各项检查指标参数处于正常值或者正常值以上,方可起飞。

飞行前的检查
飞行前调试流程必须做到位,不得忽略调试流程的任何一个细节,在操作无人机飞行前应对无人机的各个部件做相应的检查,无人机的任何一个小问题都有可能导致在飞行过程中出现事故或损坏.因此在飞行前应该做充足的检查,防止意外发生。
外观机械部分:
1、上电前应先检查机械部分相关零部件的外观,检查螺旋桨是否完好,表面是否有污渍和裂纹等(如有损坏应更换新螺旋桨,以防止在飞行中飞机震动太大导致意外).检查螺旋桨旋向是否正确,安装是否紧固,用手转动螺旋桨查看旋转是否有干涉等。
2、检查电机安装是否紧固,有无松动等现象(如发现电机安装不紧固应停止飞行,使用相应工具将电机安装固定好)用手转劢电机查看电机旋转是否有卡涩现象,电机线圈内部是否干净,电机轴有无明显的弯曲.
3、检查机架是否牢固,螺丝有无松动现象。
4、检查药箱转动是否有漏水口,药箱固定座是否安装牢固.
5、检查飞行器电池安装是否正确,电池电量是否充足.
6、检查飞行器的重心位置是否正确。

上电后的检查:
1、上电后,地面站与飞机进行配对,点击地面站设置里的配对前,先插电源负极,点击配对插上正极,地面站显示配对即可。
2、电池接插方法,要注意是串联电路还是并联电路,以免差错,导致电池烧坏或者是飞控烧坏。
3、配对成功以后,先不装桨叶,解锁轻微推动油门,观察各个电机是否旋转正常。
4、检查电调指示音是否正确LED指示灯闪烁是否正常。
5、检查各电子设备有无异常情况(如异常震动,异常声音,异常发热等)。
6、确保电机运转正常后,可进行磁罗盘的校准,点击地面站上的磁罗盘校准,校准方法见飞机使用教程。
7、打开地面站,检查手柄设置是否为美国手,检查超声波是否禁用,飞机的参数设置是否符合要求。
8、调试完成后,将喷杆安装在飞机左右两侧,插紧导管,通电测试喷洒系统是否运转正常。
9、测试飞行,以及航线的试飞,观察飞机在走航线的过程中是否需要对规划好的航线进行修改。
10、试飞过程中,务必提前观察飞机运行灯的状态,以及地面站所显示的GPS星数,及时做出预判。
11、飞行的遥控距离为飞机左右两侧六到七米,避免站在飞机机尾的正后方。
12、飞机断电加水加药,通电测试喷头是否出水出药。
13、完成以后,根据当天天气情况和风速,通电让GPS适应当前气象情况,以便飞机在作业时适应天气完美飞行。
14、起飞前必须确定GPS星数达到4或4颗以上,以及周边情况后,方可起飞作业.

飞行过程中:
1、飞手必须时刻关注飞行器的姿态、飞行时间、飞行器位置等重要信息。
2、远距离飞行时,通过对讲机要求安全员实时汇报,飞机的实时状态。
3、演示作业如有客户或围观群众,必须要求他们距离飞机达10米到15米,不得靠近,如有靠近,飞机不得起飞,保证安全。
4、必须确保飞行器有足够的电量能够安全返航。
5、若进行超视距飞行,必须密切监视地面站中显示的飞行器姿态,高度、速度、电池电压、GPS卫星数量等重要信息.
6、起飞后,必须一直关注飞机的,飞行状态,实时掌握飞机的飞行数据,确保飞行时飞行各项数据指标完好.
7、若飞行器发生较大故障不可避免发生坠机可能时,要首先必须确保人员安全.

飞行降落后:
1、飞行器飞行结束降落后,必须确保遥控器已加锁,然后切断飞机电源。
2、飞行完后检查电池电量,飞行器外观检查,机载设备检查.
3、演示作业完成后整理设备。

电池维护注意事项:
1、锂电池长期不使用时应将电池进行放电处理。
2、锂电池的满电电压不能超过4.2V,过度的充电有可能导致电池鼓包甚至会有爆炸的危险。
3、锂电池充电时必须注意充电电流不能太大,不应超过电池规定的充电电流。

飞机维护注意事项:
1、每隔两周对飞机进行一次大维保。
2、飞行任务完成后,必须立即清理飞机表面以及桨叶表面的残留和灰尘,防止飞机各金属连接处被农药腐蚀老化,影响飞机的飞行安全。
3、飞行任务完成后,必须及时用清水清理药箱和喷头,防止农药残留腐蚀老化药箱和喷头.
4、飞机大保养期间,为了保证飞机的飞行质量和飞行安全,必须及时更换飞机易损零件,提高飞机寿命。

特别注意事项
1、调试飞行器时,必须确保螺旋桨未安装于电机上(禁止螺旋桨安装于电机上时进行调试飞行器操作,否则有可能发生意外事故)。
2、严禁近身起飞,飞行器起飞必须保持距离5米以上。
3、严禁地面突然急推油门起飞,避免飞行器姿态出错不可控撞向人群。
4、严禁非测试飞手外其他人员擅动遥控器,避免误操作导致意外发生。
5、严禁任何情况下手接降落飞行器。
6、严禁飞行器降落后,桨未停转或未自锁拿起飞行器,务必保证飞行器自锁后再行移动。
力的来源
飞行原理从根上说的话就是系统运动力的来源是什么?在基本组成部分介绍了无人机的动力系统:电调-电机-螺旋桨 。
给人最直观的感受就是 电机带动螺旋桨转,产生升力。
螺旋桨旋转产生升力的原因,在很多年前伯努利就给出了解释,简单说就是流速大,压强小;流速小,压强大,也就是伯努利定理。


可以看到螺旋桨的桨面并不是平的,旋转时桨面上下的空气流速不一直,会产生向上的推力。
飞行原理
上面我们知道了飞行动力的来源,下面我们来详细介绍下多旋翼无人机的飞行原理。
以四轴飞行器为例。四轴飞行器系统采用位于机臂末端的电机带动螺旋桨旋转产生反作用力方式实现飞行器的控制。单个螺旋桨向下吹动空气产生垂直向上的反作用力,及与旋转方向相反的空气摩擦阻力。
螺旋桨分为正桨和反桨,正桨逆时针旋转向下吹风,反桨顺时针旋转向下吹风。以正桨为例,其旋转时受力如图:

如图所示,红色为螺旋桨逆时针旋转方向,黑色 F1 为垂直向上的反作用力,
F2 为空气摩擦阻力。
安螺旋桨布局位置不同四旋翼无人机可分为“十”和“X”型结构,以“X”型结构为例,下面分析“X”型结构的飞行原理。
四轴飞行器系统可通过同时调节电机的转速,实现三维空间六自由度的飞行。以四旋翼飞行器质点为原点,机头前方为 x 轴正方向,机头右方为 y 轴正方向,机体垂直向下为 z 轴正方向,满足右手定则建立机体坐标系。

四轴飞行器系统的基本运动可分为绕 x 轴的横滚运动、绕 y 轴的俯仰运动、绕 z 轴的偏航运动以及沿 z 轴方向的升降运动。
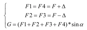
横滚运动
四轴飞行器系统通过同时加大 1 号和 4 号电机的转速、减小 2 号和 3 号电机的转速,产生 x 轴两侧的升力差,在理想情况下, 2、 3 号电机减小的百分比与 1、4 号电机增大的百分比相等,以此来保证飞行器系统垂直方向的合力为 0,同时产生沿 x 轴方向的水平分力,产生横滚角度α。

理想力学方程如下:

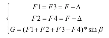
俯仰运动
四轴飞行器系统通过同时加大 2 号和 4 号电机的转速、减小 1 号和 3 号电机的转速,产生 y 轴两侧的升力差,在理想情况下, 2、 4 号电机减小的百分比与 1、3 号电机增大的百分比相等,以此来保证飞行器系统垂直方向的合力为 0,同时产生沿 y 轴方向的水平分力,产生俯仰角度β。

理想力学方程如下:

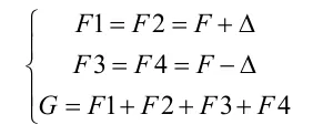
偏航运动
四轴飞行器系统通过同时加大 1 号和 2 号电机的转速、减小 3 号和 4 号电机的转速,产生反扭矩力差,在理想情况下,1、2 号电机减小的百分比与 3、4 号电机增大的百分比相等,以此来保证飞行器系统垂直方向的合力为 0,同时产生绕 z 轴旋转的力。

理想力学方程如下:

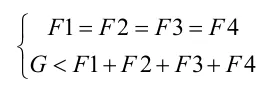
升降运动
同时增大或减小四个电机,当四个电机提供的拉力大于飞行器自身重力时将产生上升运动,当四个电机提供的拉力小于飞行器自身重力时将产生下降运动。


旋翼无人机运动本质就是控制电机的速度,相应地提高、减慢速度就可以让无人机以各种状态运动起来。
如果在 机架、动力、飞控、遥控器,齐全的情况下,在飞控中,不加入复杂的控制算法,仅将遥控器指令,转换为运动的电机转速增减量,即可让无人机在空中飞起来。但是此种情况的无人机会非常难以控制,需要不断的修各个方向的杆量,这就是所谓的纯手控模式,不建议尝试。
无人机的控制模式
纯手动模式
就是上面说的模式,遥控器的杆量,和运动模式的电机转速形成开环的控制量,无人机会异常灵敏,难以控制。这种模式在无人机的算法或者传感器出现问题,导致无人机自动控制无法实现的时候,可以尝试救一下。
姿态模式
姿态模式就是飞控层面起到了部分自动控制的功能。
飞控会通过各种传感器,感知自身的状态,包括姿态角度和姿态角速度。
同时飞控会通过接收遥控器的杆量,将杆量转为期望姿态值,然后通过闭环控制对无人机姿态值进行自动控制。
这种控制模式,相对纯手动来说,飞机会稳定很多,但是当遥控器杆量回中后,无人机会向一个方向飘,因为杆量回中代表期望姿态角度为0.但是在某方向上存在速度,无人机就按这个速度方向飘了出去。
定高模式
飞控自身会携带气压计,和惯导融合,感知自身高度状态,当油门杆量输入为中值时,以当前高度为期望高度,形成闭环控制。
无人机在z轴方向,可以实现位置稳定。水平方向相当于姿态模式,无法实现位置稳定。
悬停模式
飞控通过GPS或其它定位传感器,和惯导融合,感知自身位置状态。当杆量输入为中值时,以当前位置为期望位置,形成闭环控制。
无人机在x、y、z轴方向,可以实现位置稳定。
其它模式
这里把其它的模式归为一类,像自动航线模式、指点飞行模式、兴趣点环绕模式等,都是建立在悬停模式的基础上,只是期望位置的输入方式不一样罢了。

无人机驾驶员

1.近程无人机活动半径在p3
A. 小于15km
B. 15~50km
C. 200~800km
.
2.超近程无人机活动半径在______以内。P3
A.15km
B.15~50km
C.50~200km
3.中程无人机活动半径为______。P3
A.50~200km
B.200~800km
C.>800km
.
4.超低空无人机任务高度一般在______之间p3
A.0~100m
B.100~1000m
C.0~50m
5.无人机系统飞行器平台主要使用的是______空气的动力驱动的航空器。P6
A.轻于
B.重于
C.等于
.
6.______航空器平台结构通常包括机翼、机身、尾翼和起落架等。P8
A.单旋翼
B.多旋翼
C.固定翼
7.微型无人机是指 p3
A.空机质量小于等于7千克的无人机
B.质量小于7千克的无人机
C.质量小于等于7千克的无人机
8.轻型无人机是指 p3
A.质量大于等于7千克,但小于116千克的无人机,且全马力平飞中,校正空速小于100千米/小时(55海里/小时),升限小于3000米
B.质量大于7千克,但小于等于116千克的无人机,且全马力平飞中,校正空速大于100千米/小时(55海里/小时),升限大于3000米
C.空机质量大于7千克,但小于等于116千克的无人机,且全马力平飞中,校正空速小于100千米/小时(55海里/小时),升限小于3000米
9.大型无人机是指 p3
A.空机质量大于5,700千克的无人机
B.质量大于5,700千克的无人机
C.空机质量大于等于5,700千克的无人机
10.目前主流的民用无人机所采用的动力系统通常为活塞式发动机和__________两种。P16
A. 火箭发动机
B. 涡扇发动机
C. 电动机
11.活塞发动机系统常采用的增压技术主要是用来。P17
A. 提高功率
B. 减少废气量
C. 增加转速
12.电动动力系统主要由动力电机、动力电源和__________组成。P20
A. 电池
B. 调速系统
C. 无刷电机
.
13.从应用上说,涡桨发动机适用于。P23
A. 中低空、低速短距/垂直起降无人机
B. 高空长航时无人机/无人战斗机
C. 中高空长航时无人机
14.属于无人机飞控子系统功能的是p27
A. 无人机姿态稳定与控制
B. 导航控制
C. 任务信息收集与传递
15.不属于无人机飞控子系统所需信息的是p28
A. 经/纬度
B. 姿态角
C. 空速
16.不应属于无人机飞控计算机任务范畴的是 p29
A. 数据中继
B. 姿态稳定与控制
C. 自主飞行控制
17.无人机通过__________控制舵面和发动机节风门来实现无人机控制。P33
A. 伺服执行机构
B. 操纵杆
C. 脚蹬
18.无人机电气系统中电源和__________两者组合统称为供电系统。P35
A. 用电设备
B. 配电系统
C. 供电线路
.
19.无人机搭载任务设备重量主要受限制于。
A. 空重
B. 载重能力
C. 最大起飞重量
.
20.无人机配平的主要考虑是__________沿纵轴的前后位置 p37
A. 气动焦点
B. 发动机
C. 重心
21.大型无人机计算装载重量和重心的方法主要有:计算法、图表法和__________。P38
A. 试凑法
B. 查表法
C. 约取法
.
22.指挥控制与__________是无人机地面站的主要功能 p40
A. 导航
B. 任务规划
C. 飞行视角显示
.
23.无人机地面站系统不包括 p41
A. 机载电台
B. 无人机控制站
C. 载荷控制站
24.无人机地面站显示系统应能显示__________信息。P42
A. 无人机飞行员状态
B. 飞行器状态及链路、载荷状态
C. 飞行空域信息
.
25.地面站地图航迹显示系统可为无人机驾驶员提供飞行器__________等信息。P43
A. 飞行姿态
B. 位置
C. 飞控状态
.
26.无人机在增稳飞行控制模式下,飞控子系统__________控制。P27
A. 参与
B. 不参与
C. 不确定
27.无人机系统通讯链路主要包括:指挥与控制(C.&C.),__________,感知和规避(S&A.)三种。P46
A. 空中交通管制(A.TC.)
B. 电子干扰
C. 无线电侦察
28.目前世界上无人机的频谱使用主要集中在UHF、L和__________波段 p47
A. C.
B. VHF
C. 任意
29.以下不是导航飞控系统组成部分的是______。P27
A.传感器
B.电台
C.执行机构
.
30.导航子系统功能是向无人机提供______信息,引导无人机沿指定航线安全、准时、准确的飞行。P27
A.高度、速度、位置
B.角速度
C.角加速度
31.______是无人机完成起飞、空中飞行、执行任务、返场回收等整个飞行过程的核心系统,对无人机实现全权控制与管理,因此该子系统之于无人机相当于驾驶员之于有人机,是无人机执行任务的关键。P27
A.飞控计算机
B.飞控子系统
C.导航子系统
.
32.飞控子系统必须具备的功能为:______ p27
A.无人机姿态稳定与控制,无人机飞行管理,应急控制
B.无人机飞行管理,与导航子系统协调完成航迹控制,信息收集与传递
C.无人机起飞与着陆控制,无人机飞行管理,信息收集与传递
33.飞控子系统可以不具备如下功能:______ p27
A.姿态稳定与控制
B.导航与制导控制
C.任务分配与航迹规划
34.无人机电气系统一般包括______3个部分。P35
A.电源、电缆、接插件
B.电源、配电系统、用电设备
C.电缆、供电系统、用电设备
.
35.______两者组合统称为供电系统。P35
A.电缆和配电
B.电源和电缆
C.电源和配电
36.______的功能是向无人机各用电系统或设备提供满足预定设计要求的电能。P35
A.配电系统
B.电源
C.供电系统
37.______功能通常包括指挥调度、任务规划、操作控制、显示记录等功能。P40
A.数据链路分系统
B.无人机地面站系统
C.飞控与导航系统
.
38..______主要是制定无人机飞行任务、完成无人机载荷数据的处理和应用,指挥中心/数据处理中心一般都是通过无人机控制站等间接地实现对无人机的控制和数据接收。P41
A.指挥处理中心
B.无人机控制站
C.载荷控制站
39.______主要是由飞行操纵、任务载荷控制、数据链路控制和通信指挥等组成,可完成对无人机机载任务载荷等的操纵控制。P41
A.指挥处理中心
B.无人机控制站
C.载荷控制站
.
40.______与无人机控制站的功能类似,但只能控制无人机的机载任务设备,不能进行无人机的飞行控制。P41
A.指挥处理中心
B.无人机控制站
C.载荷控制站

本期编辑:职业技能提升学习


职业技能等级提升学习


学习咨询
国家政务服务平台已接入由人力资源和社会保障部提供的“职业技能等级证书查询、核验”服务简单两步,即可查询且与纸质证书具有同等效力! 各地高技能人才补贴、职业技能补贴、就业补助资金可线上领(附申领平台)| 附各省市人力资源和社会保障部、财政部 平台文件公示
什么是职业技能等级证书?关于印发《职业技能等级证书编码规则(试行)》和《职业技能等级证书参考样式》的通知已公布 人社部:职工申领技能提升补贴,需要满足什么条件?(核发之日起12个月内)
人社部印发《职称评审管理暂行规定》| 职称评审是什么?哪些人适用呢? 人社部|考试、培训、领补贴……社保卡都能办!(文内可领取电子社保卡) 《职业经理人通用考评要素》国家标准 修订工作正式启动-什么是职业经理人?证书有什么用途? 一文读懂|什么是职业资格证书、职业技能等级证书、专项职业能力证书? 安全员ABC:安全生产管理人员的七项职责解读,常见的22种隐患、36大危险、20类事故,附:专兼职安全员安全知识培训! “技能人才评价工作网”上线,国家职业资格证书和职业技能等级证书统一查询入口
欢迎您关注【职业技能等级提升学习】公众号
点亮在看分享给更多朋友~
|
|